器材開箱:Benchblokz及肌肉長度與力量的關係
我對汽車、手錶、酒無感,但我從不諱言自己是一個熱衷訓練器材份子。我喜歡看器材的拋光還有它們的結構,做得越粗曠得看得越興奮,Hammer Strength、Sorinex、PowerLift、Elitefts、SpudInc,這些都是我定期關注的品牌。
每看到新奇的器材或是某些廠牌推出的稀有配色;如果不是金錢考量,我都滿想買下來收藏、使用看看。所以,未來應該還有一系列的開箱文等著上傳。
閱覽國外體能中心的照片、home gym玩家的開箱、運動員的業配文,一直是我工作外的放鬆方式。 特別是home gym或國外很多的garage gym,常常可以看到很多業界的先驅。
Eleiko的切邊六角槓直接結合起槓功能,方便換置槓片。圖片來源:Eleiko官網
事實上,我認為很多商用的free weight器材,大多源自於小型用戶間,才慢慢有廠商大規模地生產、改造。 例如,前陣子引起很大騷動的Eleiko切邊六角槓。早在它推出之前,國外已有不少home gym玩家在改良六角槓,甚至有人戲稱2019年是屬於六角槓的。
(附帶一提,2018年是belt squat。不過台灣有這台器材的地方不多,但這年推出了不少款式的belt squat)
Benchblokz 使用概況
今天要介紹的產品叫做Benchblokz (暫譯,臥推磚),主要是拿來做槓鈴臥推用的。 Benchblokz由同名公司(Bench Blokz )所生產,算是一種經過設計、改良的臥推板。
臥推板是什麼?
臥推板,是為了協助健力選手進行專項的臥推訓練–board press,而設計出來的輔具。
Board press示意圖。圖片來源:Elitefts官網
Board press的訓練方式,要求每一下臥推必須下放至規定的深度才能再推上來。透過臥推板,能明確指示出下放的深度,訓練就比較容易標準化以確保每一下的品質。
市面上常見的臥推板有幾種:Benchblokz、木板、elitefts Shoulder Saver Pad…等。其中,最廣泛使用的應該是木板。
各式臥推板,由左至右分別為Benchblokz、傳統木板、elitefts Shoulder Saver Pad
Board press這樣的訓練有什麼好處?
如果你也是訓練經驗豐富或是好勝心強盛的運動愛好者,應該多少都碰過所謂「力竭」的情況。
「力竭」的出現,並不表示你特別軟弱;而是身體為了自保所衍伸出來的防衛機制。但對運動員來說,我們都希望這樣的枷鎖能來得越少越好、越晚越好。
仔細回想,每一次氣力放盡的那一下,是不是都差不多在同樣的位置。例如,深蹲要站起來的那一刻、臥推準備要推起來的過程…,這些讓我們跨越不過去的時機點,就是我們說的僵持點(sticking point)或是弱點(weakest point)。
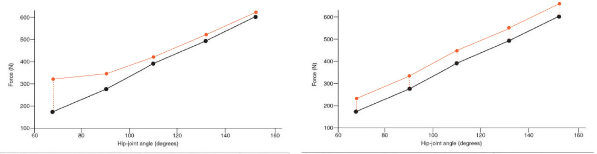
會造成這樣的現象,如果用科學一點的角度來分析的話,主要是因為關節角度的改變,造成肌肉可能處於比較優勢或比較劣勢,所以力量的天花板也就不同。
髖關節屈肌在不同角度下做等長收縮最大出力的結果
如果我沒記錯的話,有些健身房勵志小語類似“Turn your weakness into your strength.”,描述的正好是這個現象。
好消息是,動作有專項性,角度也有專項性。
當你特別常練某個動作,那個動作表現就是會比較好。同樣地,當你特別常練在某個角度下出力,也能提升該角度的力竭閾值。這就是某些文章會提到的posture specific,也是很多人在爭論「到底要不要練全蹲(full squat)」的原罪。
科學上面對角度-力量曲線的應對方法,有三:
1. The Peak-Contraction Principle:基本上,這個方法就是加強你最弱的那個環節。甚至刻意在最弱的姿勢下,給予最大的阻力。這樣的做法稱為Mini-max (Minimum among maximums.)目的就是為了提升你在那個僵持點的力量。
2. Accommodation Resistance:簡單來說,就是訓練整條『力量–角度關係曲線』。不管在什麼位置、什麼角度,反正移動過程中就是都發揮到100%全力就對了。但因為移動過程中,每個關節角度的100%全力不同,所以這樣的做法需要一些特殊儀器來創造變動阻力,例如等速機器。
3. Accentuation:這種做法算是三者之中比較消極的,但卻比較符合生活中的狀況。它只考慮當我們在運動時,『力量需求』最大的那個角度範圍你的表現如何。意即,從動作的角度出發,你只要care當你需要力量的時候,你能不能發揮出來就好,其他角度的力量表現如何並不是我們要擔心的。
以深蹲為例,儘管大多數的僵持點都發生在半蹲以下;但對籃球員而言,要起跳爭搶籃板球也不會在那裏,所以並不是我們訓練的重點。反倒是1/4蹲或半蹲,才是我們需要加強的。
左邊為方法一.The Peak-Contraction Principle 預測的改變。右邊為方法二Accommodation Resistance預測的改變
而要歸類臥推板的話,大概就是算第一種訓練方法吧。
透過切換不同厚度的臥推板,來訓練槓鈴在不同僵持點的表現,最後讓該位置或是整條曲線的力量達到提升。
這個輔具剛問世時,除了讓健力愛好者多了一個方便訓練的工具外,也可從Elitefts的產品名稱–肩膀救星(Shoulder Saver)中,發現它的附加價值。
臥推時,當手肘慢慢低於到軀幹位置,容易增加肩關節前側的壓力。如果一味追求槓鈴碰胸口的鐵律,對於肩關節活動度不好的人來說,很容易增加受傷的風險。臥推板的出現,剛好強迫槓鈴在接觸板子後必須往上推升。
Benchblokz 使用概況
除此之外,Benchblokz和木板的差異在於–木板雖然好取得,但需要另外一位小幫手在旁協助。
Benchblokz則透過凹槽和槓鈴達到緊密的接合,對於像我這種自己練最自在的人來說,是滿不錯的產品,不必麻煩別人也可以玩看看board press的成效如何。
圖片中我是以握把比較細的Denko女用槓來測試,也一樣能緊密卡在Benchblokz之中。
需要花一點點力氣,才能把槓鈴卡進Benchblokz內
另外,Benchblokz也善用了矩形磚形狀,將不同高度的臥推板收納於一體。
官網上有兩種規格的產品,一大一小,能變化的高度也不同。
- 大的$59.95,能製造出四種高度(如圖所示) 
- 小的$36.95,能製造出三種高度 
這個要潤滑的溝槽噴得有點草率阿
唯一美中不足的就是它的價格吧!還有一些細節的地方也做得滿隨便的
還有這個印刷也不太及格
如果需要在官網上購買的朋友,可以使用國外網友提供的折扣碼【BEAR】,應該會有九折的優惠(之前是八折)。
過去我也曾寫信詢問過團購有沒有優惠,得到的答案是:
There is a ten (10%) percent discount on quantities of five (5) or more per size, Twenty (20%) percent in quantities of ten (10) or more per size.
算是價格滿硬的產品。
目前手上還有兩組多買的Benchblokz(大),一組暫售2500元台幣。
 
            